Dua planet a dan b mengorbit matahari images are available in this site. Dua planet a dan b mengorbit matahari are a topic that is being searched for and liked by netizens today. You can Get the Dua planet a dan b mengorbit matahari files here. Download all free vectors.
If you’re searching for dua planet a dan b mengorbit matahari pictures information connected with to the dua planet a dan b mengorbit matahari keyword, you have pay a visit to the ideal site. Our site always gives you hints for seeking the highest quality video and picture content, please kindly search and locate more informative video content and graphics that fit your interests.
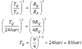
Dua Planet A Dan B Mengorbit Matahari.
Dua Buah Planet P Dan Q Mengorbit Matahari Perbandingan Antara Jarak Planet P Dan Planet Q Mas Dayat From masdayat.net
Source:
Source: brainly.co.id
Source: masdayat.net
Source: youtube.com
Source: brainly.co.id
Source: brainly.co.id
Source: ilmuberkelas.blogspot.com
Source: masdayat.net
Source: edukasi.lif.co.id
Source: roboguru.ruangguru.com
Source: brainly.co.id
This site is an open community for users to share their favorite wallpapers on the internet, all images or pictures in this website are for personal wallpaper use only, it is stricly prohibited to use this wallpaper for commercial purposes, if you are the author and find this image is shared without your permission, please kindly raise a DMCA report to Us.
If you find this site adventageous, please support us by sharing this posts to your preference social media accounts like Facebook, Instagram and so on or you can also bookmark this blog page with the title dua planet a dan b mengorbit matahari by using Ctrl + D for devices a laptop with a Windows operating system or Command + D for laptops with an Apple operating system. If you use a smartphone, you can also use the drawer menu of the browser you are using. Whether it’s a Windows, Mac, iOS or Android operating system, you will still be able to bookmark this website.





